这一节来介绍 React 的渲染机制————Reconciliation 过程 (很多人翻译成 "一致化处理过程",个人觉得不太贴切,直译为 "协调" 反而更好,且看下面分解)。

如上图所示,React 采用的是虚拟 DOM (即 VDOM ),每次属性 (props) 和状态 (state) 发生变化的时候,render 函数返回不同的元素树,React 会检测当前返回的元素树和上次渲染的元素树之前的差异,然后针对差异的地方进行更新操作,最后渲染为真实 DOM,这就是整个 Reconciliation 过程,其核心就是进行新旧 DOM 树对比的 diff 算法。
为了获得更优秀的性能,首先映入脑海的便是 减少 diff 的过程,那么在保证应该更新的节点能够得到更新的前提下,这个 diff 的过程如何来避免呢?
答案是利用 shouldComponentUpdate 这个生命周期函数。这个函数做了什么事情呢?
默认的 shouldComponentUpdate 会在 props 或 state 发生变化时返回 true, 表示组件会重新渲染,从而调用 render 函数,进行新旧 DOM 树的 diff 比对。但是我们可以在这个生命周期函数里面做一些判断,然后返回一个布尔值,并且返回 true 表示即将更新当前组件,false 则不更新当前组件。换句话说,我们可以通过 shouldComponentUpdate 控制是否发生 VDOM 树的 diff 过程。
关键的知识点已经做好了铺垫。现在我们以 React 官方的一个图为例,完整地分析一下 Reconciliation 的流程:

SCU 即 shouldComponentUpdate 的简写,图中的红色节点表示 shouldComponentUpdate 函数返回 true ,需要调用 render 方法,进行新旧 VDOM 树的 diff 过程,绿色节点表示此函数返回 false ,不需要进行 DOM 树的更新。
从 C1 开始,C1 为红色节点,shouldComponentUpdate 返回 true,需要进行进一步的新旧 VDOM 树的比对,假设现在两棵树上的 C1节点类型相同,则递归进入下一层节点的比较,首先进入 C2,绿色节点,表示 SCU 返回 false,不需要对 C2 的 VDOM 节点进行比对,同时 C2 下面所有的后代节点 都不需要比对。
现在进入 C3,C3 为红色节点,表示 SCU 为 true,需要在该节点上进行比对,假设两棵树的 C3 节点类型相同,则继续进入到下一层的比对中。其 r 中 C6 为红色节点,进行相应的 diff 操作,C7、C8 都为绿色节点,都不需要更新。
当然可能你会有疑问,上面都是在 diff 的时候假设节点类型相同,那如果节点类型不相同的时候会怎样呢?这里 React 的做法非常简单粗暴,直接将 原 VDOM 树上该节点以及该节点下所有的后代节点 全部删除,然后替换为新 VDOM 树上同一位置的节点,当然这个节点的后代节点也全都跟着过来了。这属于 diff 算法的实现细节,我们在文末的彩蛋中会对于 diff 更全面和细致的拆解:)
因此我们可以发现,如果能够合理利用 shouldComponentUpdate,从而能避免不必要的 Reconciliation 过程,使得应用性能可以更加优秀。
一般 shouldComponentUpdate 会比较 props 和 state 中的属性是否发生改变 (浅比较) 来判定是否返回 true,从而触发 Reconciliation 过程。典型的应用就是 React 中推出的 PureComponent 这个 API,会在 props 或者 state 改变时对两者的数据进行浅层比较。
但是在上一小节已经提出,这个项目全面拥抱函数式组件,不再用类组件了,因此 shouldComponentUpdate 就不能再用了。用了函数组件后,是不是就没有了浅比较的方案了呢?并不是。React 为函数组件提供了一个 memo 方法,它和 PureComponent 在数据比对上唯一的区别就在于 只进行了 props 的浅比较。而且它的用法很简单,直接将函数传入 memo 中导出即可。形如:
function Home () {
//xxx
}
export default React.memo (Home);
这也就解释了为什么我们需要用在每个组件导出时都要加 memo 包裹。
# 彩蛋: React 虚拟 DOM 的 Diff 原理全解析
谈到 React,diff 算法几乎是一个避不开的话题,因为它对于应用性能来说实在非常重要,但本小节的主角是 shouldComponentUpdate, 因此在正文只是有所提及,现在在彩蛋部分我们就来彻底地整理一下 React 虚拟 DOM 的 diff 算法究竟是如何做的。其实整个过程并不难,难的是它的源码对于边界情况和其他细节的处理,但精通源码,那是参与 React 框架开发的人要做的,我们要做的只是明白其中的原理,以此来帮助我们的应用开发。
思维图 (建议收藏):

接下来一一地对其中的过程进行拆解。
# 设计思想概述
首先是设计思想,其实从一个树参照另一棵树进行更新,如果利用循环递归的方式对每一个节点进行比较,那算法的复杂度可以到达是 O (n^3), 通俗点来说 1000 个节点的树,要比对 10 亿次,还不包括比对类型、属性等等节点的细节,即使目前性能最高的 CPU 也很难再一秒内算出结果。
但是 React 说它的 diff 就是能达到 O (n) 级别。
不可思议吧!但它其实就是偷工减料,并没有老老实实地比对每一个节点,有一套自己的方法论,简单的归纳一下就是下面三条:
- 永远只比较同层节点,不会跨层级比较节点。
- 不同的两个节点产生不同的树。这也就是上面总结的类型不相同的情况,把原来的节点以及它的后代全部干掉,替换成新的。
- 通过 key 值指定哪些元素是相同的。(后面来展开介绍。)
# 执行规则 (流程)
# 1、元素类型不相同时
见上文分析。
# 2. 元素类型相同时
# a. 都是 DOM 节点
<div className="old" title="老节点" />
<div className="new" title="新节点" />
通过比对这两个元素,React 知道需要修改 DOM 元素上的 className 属性和 title 属性。
处理完该节点后,React 继续对子节点进行递归。
# b. 都是组件元素
组件实例保持不变,更新 props。值得注意的是,这时候调用组件实例的 componentWillReceiveProps () 方法。然后通过 shouldComponentUpdate 返回值决定是否调用 render 方法。
处理完该节点后,依然继续对子节点进行递归。
# 特殊情况讨论:遍历子元素列表
# 引入 key 值
首先,我们往列表末尾插入一个元素:
<ul>
<li>1</li>
<li>2</li>
</ul>
插入后为:
<ul>
<li>1</li>
<li>2</li>
<li>3</li>
</ul>
React 会先匹配两个对应的树,最后插入第三个元素,没有任何问题。
但是如果在头部插入呢?
<ul>
<li>3</li>
<li>1</li>
<li>2</li>
</ul>
此时前两个元素和原来都不一样,第三个元素被当作新增的节点,明明只需要更新 1 个节点,现在更新了 3 个。这样的情况效率是非常低的。
于是,React 引入了 key 值的概念。
<ul>
<li key="first">1</li>
<li key="second">2</li>
</ul>
插入之后变为:
<ul>
<li key="third">3</li>
<li key="first">1</li>
<li key="second">2</li>
</ul>
现在 React 通过 key 得知 1 和 2 原来是存在的,现在只是换了位置,因此不需要更新整个节点了,只需要移动位置即可,大大提升效率。
# 选取 key 值的问题
key 选取的原一般是 不需要全局唯一,但必须列表中保持唯一。
有很多人喜欢用数组元素的下标作为 key 值,在元素顺序不改变的情况是没有问题的,但一旦顺序发生改变,diff 效率就有可能骤然下降。
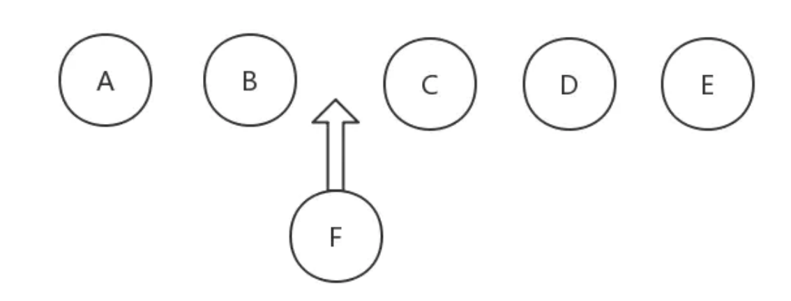
举个例子,现在在五个元素中插入 F

现在由于 F 的插入,后面的 C、D、E 索引值都改变,即 key 值改变,因此后面的节点都得更新。而且,数组乱序或者在头部插入都会导致同样的更新问题。
因此,不用数组索引做 key 值的根本原因在于:数组下标值不稳定,修改顺序会修改当前 key
当我们利用 key 值以后,上面的问题便迎刃而解,后面的 C、D、E 只需要向后挪动一个位置即可,真正需要更新的就只有新增的节点了。
好了,React 中的 diff 算法先分享到这里,希望这一小节对你有所启发。