# 组件类
组件类,详细分的话有三种类,第一类说白了就是我平时用于继承的基类组件Component,PureComponent,还有就是react提供的内置的组件,比如Fragment,StrictMode,另一部分就是高阶组件forwardRef,memo等。

# Component
Component是class组件的根基。类组件一切始于Component。对于React.Component使用,我们没有什么好讲的。我们这里重点研究一下react对Component做了些什么。
react/src/ReactBaseClasses.js
function Component(props, context, updater) {
this.props = props;
this.context = context;
this.refs = emptyObject;
this.updater = updater || ReactNoopUpdateQueue;
}
这就是Component函数,其中updater对象上保存着更新组件的方法。
我们声明的类组件是什么时候以何种形式被实例化的呢?
react-reconciler/src/ReactFiberClassComponent.js
constructClassInstance
function constructClassInstance(
workInProgress,
ctor,
props
){
const instance = new ctor(props, context);
instance.updater = {
isMounted,
enqueueSetState(){
/* setState 触发这里面的逻辑 */
},
enqueueReplaceState(){},
enqueueForceUpdate(){
/* forceUpdate 触发这里的逻辑 */
}
}
}
对于Component, react 处理逻辑还是很简单的,实例化我们类组件,然后赋值updater对象,负责组件的更新。然后在组件各个阶段,执行类组件的render函数,和对应的生命周期函数就可以了。
# PureComponent
PureComponent和 Component用法,差不多一样,唯一不同的是,纯组件PureComponent会浅比较,props和state是否相同,来决定是否重新渲染组件。所以一般用于性能调优,减少render次数。
什么叫做浅比较,我这里举个列子:
class Index extends React.PureComponent{
constructor(props){
super(props)
this.state={
data:{
name:'alien',
age:28
}
}
}
handerClick= () =>{
const { data } = this.state
data.age++
this.setState({ data })
}
render(){
const { data } = this.state
return <div className="box" >
<div className="show" >
<div> 你的姓名是: { data.name } </div>
<div> 年龄: { data.age }</div>
<button onClick={ this.handerClick } >age++</button>
</div>
</div>
}
}
)
点击按钮,没有任何反应,因为PureComponent会比较两次data对象,都指向同一个data,没有发生改变,所以不更新视图。
解决这个问题很简单,只需要在handerClick事件中这么写:
this.setState({ data:{...data} })
浅拷贝就能根本解决问题。
# memo
React.memo和PureComponent作用类似,可以用作性能优化,React.memo 是高阶组件,函数组件和类组件都可以使用, 和区别PureComponent是 React.memo只能对props的情况确定是否渲染,而PureComponent是针对props和state。
React.memo 接受两个参数,第一个参数原始组件本身,第二个参数,可以根据一次更新中props是否相同决定原始组件是否重新渲染。是一个返回布尔值,true 证明组件无须重新渲染,false证明组件需要重新渲染,这个和类组件中的shouldComponentUpdate()正好相反 。
React.memo: 第二个参数 返回 true 组件不渲染 , 返回 false 组件重新渲染。 shouldComponentUpdate: 返回 true 组件渲染 , 返回 false 组件不渲染。
接下来我们做一个场景,控制组件在仅此一个props数字变量,一定范围渲染。
例子🌰:
控制 props 中的 number :
- 1 只有
number更改,组件渲染。 - 2 只有
number小于 5 ,组件渲染。
function TextMemo(props){
console.log('子组件渲染')
if(props)
return <div>hello,world</div>
}
const controlIsRender = (pre,next)=>{
if(pre.number === next.number ){ // number 不改变 ,不渲染组件
return true
}else if(pre.number !== next.number && next.number > 5 ) { // number 改变 ,但值大于5 , 不渲染组件
return true
}else { // 否则渲染组件
return false
}
}
const NewTexMemo = memo(TextMemo,controlIsRender)
class Index extends React.Component{
constructor(props){
super(props)
this.state={
number:1,
num:1
}
}
render(){
const { num , number } = this.state
return <div>
<div>
改变num:当前值 { num }
<button onClick={ ()=>this.setState({ num:num + 1 }) } >num++</button>
<button onClick={ ()=>this.setState({ num:num - 1 }) } >num--</button>
</div>
<div>
改变number: 当前值 { number }
<button onClick={ ()=>this.setState({ number:number + 1 }) } > number ++</button>
<button onClick={ ()=>this.setState({ number:number - 1 }) } > number -- </button>
</div>
<NewTexMemo num={ num } number={number} />
</div>
}
}
效果:

完美达到了效果,React.memo一定程度上,可以等价于组件外部使用shouldComponentUpdate ,用于拦截新老props,确定组件是否更新。
# forwardRef
官网对forwardRef的概念和用法很笼统,也没有给定一个具体的案例。很多同学不知道 forwardRef具体怎么用,下面我结合具体例子给大家讲解forwardRef应用场景。
1 转发引入Ref
这个场景实际很简单,比如父组件想获取孙组件,某一个dom元素。这种隔代ref获取引用,就需要forwardRef来助力。
function Son (props){
const { grandRef } = props
return <div>
<div> i am alien </div>
<span ref={grandRef} >这个是想要获取元素</span>
</div>
}
class Father extends React.Component{
constructor(props){
super(props)
}
render(){
return <div>
<Son grandRef={this.props.grandRef} />
</div>
}
}
const NewFather = React.forwardRef((props,ref)=><Father grandRef={ref} {...props} /> )
class GrandFather extends React.Component{
constructor(props){
super(props)
}
node = null
componentDidMount(){
console.log(this.node)
}
render(){
return <div>
<NewFather ref={(node)=> this.node = node } />
</div>
}
}
效果

react不允许ref通过props传递,因为组件上已经有 ref 这个属性,在组件调和过程中,已经被特殊处理,forwardRef出现就是解决这个问题,把ref转发到自定义的forwardRef定义的属性上,让ref,可以通过props传递。
2 高阶组件转发Ref
一文吃透hoc文章中讲到,由于属性代理的hoc,被包裹一层,所以如果是类组件,是通过ref拿不到原始组件的实例的,不过我们可以通过forWardRef转发ref。
function HOC(Component){
class Wrap extends React.Component{
render(){
const { forwardedRef ,...otherprops } = this.props
return <Component ref={forwardedRef} {...otherprops} />
}
}
return React.forwardRef((props,ref)=> <Wrap forwardedRef={ref} {...props} /> )
}
class Index extends React.Component{
componentDidMount(){
console.log(666)
}
render(){
return <div>hello,world</div>
}
}
const HocIndex = HOC(Index,true)
export default ()=>{
const node = useRef(null)
useEffect(()=>{
/* 就可以跨层级,捕获到 Index 组件的实例了 */
console.log(node.current.componentDidMount)
},[])
return <div><HocIndex ref={node} /></div>
}
如上,解决了高阶组件引入Ref的问题。
# lazy
React.lazy 和 Suspense 技术还不支持服务端渲染。如果你想要在使用服务端渲染的应用中使用,我们推荐 Loadable Components 这个库
React.lazy和Suspense配合一起用,能够有动态加载组件的效果。React.lazy 接受一个函数,这个函数需要动态调用 import()。它必须返回一个 Promise ,该 Promise 需要 resolve 一个 default export 的 React 组件。
我们模拟一个动态加载的场景。
父组件
import Test from './comTest'
const LazyComponent = React.lazy(()=> new Promise((resolve)=>{
setTimeout(()=>{
resolve({
default: ()=> <Test />
})
},2000)
}))
class index extends React.Component{
render(){
return <div className="context_box" style={ { marginTop :'50px' } } >
<React.Suspense fallback={ <div className="icon" ><SyncOutlined spin /></div> } >
<LazyComponent />
</React.Suspense>
</div>
}
}
我们用setTimeout来模拟import异步引入效果。
Test
class Test extends React.Component{
constructor(props){
super(props)
}
componentDidMount(){
console.log('--componentDidMount--')
}
render(){
return <div>
<img src={alien} className="alien" />
</div>
}
}
效果

# Suspense
何为Suspense, Suspense 让组件“等待”某个异步操作,直到该异步操作结束即可渲染。
用于数据获取的 Suspense 是一个新特性,你可以使用 <Suspense> 以声明的方式来“等待”任何内容,包括数据。本文重点介绍它在数据获取的用例,它也可以用于等待图像、脚本或其他异步的操作。
上面讲到高阶组件lazy时候,已经用 lazy + Suspense模式,构建了异步渲染组件。我们看一下官网文档中的案例:
const ProfilePage = React.lazy(() => import('./ProfilePage')); // 懒加载
<Suspense fallback={<Spinner />}>
<ProfilePage />
</Suspense>
# Fragment
react不允许一个组件返回多个节点元素,比如说如下情况
render(){
return <li> 🍎🍎🍎 </li>
<li> 🍌🍌🍌 </li>
<li> 🍇🍇🍇 </li>
}
如果我们想解决这个情况,很简单,只需要在外层套一个容器元素。
render(){
return <div>
<li> 🍎🍎🍎 </li>
<li> 🍌🍌🍌 </li>
<li> 🍇🍇🍇 </li>
</div>
}
但是我们不期望,增加额外的dom节点,所以react提供Fragment碎片概念,能够让一个组件返回多个元素。 所以我们可以这么写
<React.Fragment>
<li> 🍎🍎🍎 </li>
<li> 🍌🍌🍌 </li>
<li> 🍇🍇🍇 </li>
</React.Fragment>
还可以简写成:
<>
<li> 🍎🍎🍎 </li>
<li> 🍌🍌🍌 </li>
<li> 🍇🍇🍇 </li>
</>
和Fragment区别是,Fragment可以支持key属性。<></>不支持key属性。
温馨提示。我们通过map遍历后的元素,react底层会处理,默认在外部嵌套一个<Fragment>。
比如:
{
[1,2,3].map(item=><span key={item.id} >{ item.name }</span>)
}
react底层处理之后,等价于:
<Fragment>
<span></span>
<span></span>
<span></span>
</Fragment>
# Profiler
Profiler这个api一般用于开发阶段,性能检测,检测一次react组件渲染用时,性能开销。
Profiler 需要两个参数:
第一个参数:是 id,用于表识唯一性的Profiler。
第二个参数:onRender回调函数,用于渲染完成,接受渲染参数。
实践:
const index = () => {
const callback = (...arg) => console.log(arg)
return <div >
<div >
<Profiler id="root" onRender={ callback } >
<Router >
<Meuns/>
<KeepaliveRouterSwitch withoutRoute >
{ renderRoutes(menusList) }
</KeepaliveRouterSwitch>
</Router>
</Profiler>
</div>
</div>
}
结果

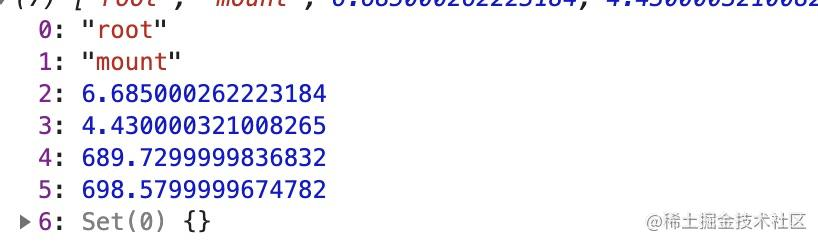
onRender
- 0 -id:
root->Profiler树的id。 - 1 -phase:
mount->mount挂载 ,update渲染了。 - 2 -actualDuration:
6.685000262223184-> 更新committed花费的渲染时间。 - 3 -baseDuration:
4.430000321008265-> 渲染整颗子树需要的时间 - 4 -startTime :
689.7299999836832-> 本次更新开始渲染的时间 - 5 -commitTime :
698.5799999674782-> 本次更新committed 的时间 - 6 -interactions:
set{}-> 本次更新的interactions的集合
尽管 Profiler 是一个轻量级组件,我们依然应该在需要时才去使用它。对一个应用来说,每添加一些都会给 CPU 和内存带来一些负担。
# StrictMode
StrictMode见名知意,严格模式,用于检测react项目中的潜在的问题,。与 Fragment 一样, StrictMode 不会渲染任何可见的 UI 。它为其后代元素触发额外的检查和警告。
严格模式检查仅在开发模式下运行;它们不会影响生产构建。
StrictMode目前有助于:
- ①识别不安全的生命周期。
- ②关于使用过时字符串
ref API的警告 - ③关于使用废弃的
findDOMNode方法的警告 - ④检测意外的副作用
- ⑤检测过时的
context API
实践:识别不安全的生命周期
对于不安全的生命周期,指的是UNSAFE_componentWillMount,UNSAFE_componentWillReceiveProps , UNSAFE_componentWillUpdate
外层开启严格模式:
<React.StrictMode>
<Router >
<Meuns/>
<KeepaliveRouterSwitch withoutRoute >
{ renderRoutes(menusList) }
</KeepaliveRouterSwitch>
</Router>
</React.StrictMode>
我们在内层组件中,使用不安全的生命周期:
class Index extends React.Component{
UNSAFE_componentWillReceiveProps(){
}
render(){
return <div className="box" />
}
}
效果:

# 工具类
接下来我们一起来探究一下react工具类函数的用法。

# createElement
一提到createElement,就不由得和JSX联系一起。我们写的jsx,最终会被 babel,用createElement编译成react元素形式。我写一个组件,我们看一下会被编译成什么样子,
如果我们在render里面这么写:
render(){
return <div className="box" >
<div className="item" >生命周期</div>
<Text mes="hello,world" />
<React.Fragment> Flagment </React.Fragment>
{ /* */ }
text文本
</div>
}
会被编译成这样:
render() {
return React.createElement("div", { className: "box" },
React.createElement("div", { className: "item" }, "\u751F\u547D\u5468\u671F"),
React.createElement(Text, { mes: "hello,world" }),
React.createElement(React.Fragment, null, " Flagment "),
"text\u6587\u672C");
}
当然我们可以不用jsx模式,而是直接通过createElement进行开发。
createElement模型:
React.createElement(
type,
[props],
[...children]
)
createElement参数:
**第一个参数:**如果是组件类型,会传入组件,如果是dom元素类型,传入div或者span之类的字符串。
第二个参数::第二个参数为一个对象,在dom类型中为属性,在组件类型中为props。
其他参数:,依次为children,根据顺序排列。
createElement做了些什么?
经过createElement处理,最终会形成 $$typeof = Symbol(react.element)对象。对象上保存了该react.element的信息。
# cloneElement
可能有的同学还傻傻的分不清楚cloneElement和createElement区别和作用。
createElement把我们写的jsx,变成element对象; 而cloneElement的作用是以 element 元素为样板克隆并返回新的 React 元素。返回元素的 props 是将新的 props 与原始元素的 props 浅层合并后的结果。
那么cloneElement感觉在我们实际业务组件中,可能没什么用,但是在一些开源项目,或者是公共插槽组件中用处还是蛮大的,比如说,我们可以在组件中,劫持children element,然后通过cloneElement克隆element,混入props。经典的案例就是 react-router中的Swtich组件,通过这种方式,来匹配唯一的 Route并加以渲染。
我们设置一个场景,在组件中,去劫持children,然后给children赋能一些额外的props:
function FatherComponent({ children }){
const newChildren = React.cloneElement(children, { age: 18})
return <div> { newChildren } </div>
}
function SonComponent(props){
console.log(props)
return <div>hello,world</div>
}
class Index extends React.Component{
render(){
return <div className="box" >
<FatherComponent>
<SonComponent name="alien" />
</FatherComponent>
</div>
}
}
打印:

完美达到了效果!
# createContext
createContext用于创建一个Context对象,createContext对象中,包括用于传递 Context 对象值 value的Provider,和接受value变化订阅的Consumer。
const MyContext = React.createContext(defaultValue)
createContext接受一个参数defaultValue,如果Consumer上一级一直没有Provider,则会应用defaultValue作为value。只有当组件所处的树中没有匹配到 Provider 时,其 defaultValue 参数才会生效。
我们来模拟一个 Context.Provider和Context.Consumer的例子:
function ComponentB(){
/* 用 Consumer 订阅, 来自 Provider 中 value 的改变 */
return <MyContext.Consumer>
{ (value) => <ComponentA {...value} /> }
</MyContext.Consumer>
}
function ComponentA(props){
const { name , mes } = props
return <div>
<div> 姓名: { name } </div>
<div> 想对大家说: { mes } </div>
</div>
}
function index(){
const [ value , ] = React.useState({
name:'alien',
mes:'let us learn React '
})
return <div style={{ marginTop:'50px' }} >
<MyContext.Provider value={value} >
<ComponentB />
</MyContext.Provider>
</div>
}
打印结果:

Provider和Consumer的良好的特性,可以做数据的存和取,Consumer一方面传递value,另一方面可以订阅value的改变。
Provider还有一个特性可以层层传递value,这种特性在react-redux中表现的淋漓尽致。
# createFactory
React.createFactory(type)
返回用于生成指定类型 React 元素的函数。类型参数既可以是标签名字符串(像是 'div' 或 'span'),也可以是 React 组件 类型 ( class 组件或函数组件),或是 React fragment 类型。
使用:
const Text = React.createFactory(()=><div>hello,world</div>)
function Index(){
return <div style={{ marginTop:'50px' }} >
<Text/>
</div>
}
效果

报出警告,这个api将要被废弃,我们这里就不多讲了,如果想要达到同样的效果,请用React.createElement
# createRef
createRef可以创建一个 ref 元素,附加在react元素上。
用法:
class Index extends React.Component{
constructor(props){
super(props)
this.node = React.createRef()
}
componentDidMount(){
console.log(this.node)
}
render(){
return <div ref={this.node} > my name is alien </div>
}
}
个人觉得createRef这个方法,很鸡肋,我们完全可以class类组件中这么写,来捕获ref。
class Index extends React.Component{
node = null
componentDidMount(){
console.log(this.node)
}
render(){
return <div ref={(node)=> this.node } > my name is alien </div>
}
}
或者在function组件中这么写:
function Index(){
const node = React.useRef(null)
useEffect(()=>{
console.log(node.current)
},[])
return <div ref={node} > my name is alien </div>
}
# isValidElement
这个方法可以用来检测是否为react element元素,接受待验证对象,返回true或者false。这个api可能对于业务组件的开发,作用不大,因为对于组件内部状态,都是已知的,我们根本就不需要去验证,是否是react element 元素。 但是,对于一起公共组件或是开源库,isValidElement就很有作用了。
实践
我们做一个场景,验证容器组件的所有子组件,过滤到非react element类型。
没有用isValidElement验证之前:
const Text = () => <div>hello,world</div>
class WarpComponent extends React.Component{
constructor(props){
super(props)
}
render(){
return this.props.children
}
}
function Index(){
return <div style={{ marginTop:'50px' }} >
<WarpComponent>
<Text/>
<div> my name is alien </div>
Let's learn react together!
</WarpComponent>
</div>
}
过滤之前的效果

我们用isValidElement进行react element验证:
class WarpComponent extends React.Component{
constructor(props){
super(props)
this.newChidren = this.props.children.filter(item => React.isValidElement(item) )
}
render(){
return this.newChidren
}
}
过滤之后效果

过滤掉了非react element 的 Let's learn react together!。
# Children.map
接下来的五个api都是和react.Chidren相关的,我们来分别介绍一下,我们先来看看官网的描述,React.Children 提供了用于处理 this.props.children 不透明数据结构的实用方法。
有的同学会问遍历 children用数组方法,map ,forEach 不就可以了吗? 请我们注意一下不透明数据结构,什么叫做不透明结构?
我们先看一下透明的结构:
class Text extends React.Component{
render(){
return <div>hello,world</div>
}
}
function WarpComponent(props){
console.log(props.children)
return props.children
}
function Index(){
return <div style={{ marginTop:'50px' }} >
<WarpComponent>
<Text/>
<Text/>
<Text/>
<span>hello,world</span>
</WarpComponent>
</div>
}
打印

但是我们把Index结构改变一下:
function Index(){
return <div style={{ marginTop:'50px' }} >
<WarpComponent>
{ new Array(3).fill(0).map(()=><Text/>) }
<span>hello,world</span>
</WarpComponent>
</div>
}
打印

这个数据结构,我们不能正常的遍历了,即使遍历也不能遍历,每一个子元素。此时就需要 react.Chidren 来帮忙了。
但是我们把WarpComponent组件用react.Chidren处理children:
function WarpComponent(props){
const newChildren = React.Children.map(props.children,(item)=>item)
console.log(newChildren)
return newChildren
}
此时就能正常遍历了,达到了预期效果。

注意 如果 children 是一个 Fragment 对象,它将被视为单一子节点的情况处理,而不会被遍历。
# Children.forEach
Children.forEach和Children.map 用法类似,Children.map可以返回新的数组,Children.forEach仅停留在遍历阶段。
我们将上面的WarpComponent方法,用Children.forEach改一下。
function WarpComponent(props){
React.Children.forEach(props.children,(item)=>console.log(item))
return props.children
}
# Children.count
children 中的组件总数量,等同于通过 map 或 forEach 调用回调函数的次数。对于更复杂的结果,Children.count可以返回同一级别子组件的数量。
我们还是把上述例子进行改造:
function WarpComponent(props){
const childrenCount = React.Children.count(props.children)
console.log(childrenCount,'childrenCount')
return props.children
}
function Index(){
return <div style={{ marginTop:'50px' }} >
<WarpComponent>
{ new Array(3).fill(0).map((item,index) => new Array(2).fill(1).map((item,index1)=><Text key={index+index1} />)) }
<span>hello,world</span>
</WarpComponent>
</div>
}
效果:

# Children.toArray
Children.toArray返回,props.children扁平化后结果。
function WarpComponent(props){
const newChidrenArray = React.Children.toArray(props.children)
console.log(newChidrenArray,'newChidrenArray')
return newChidrenArray
}
function Index(){
return <div style={{ marginTop:'50px' }} >
<WarpComponent>
{ new Array(3).fill(0).map((item,index)=>new Array(2).fill(1).map((item,index1)=><Text key={index+index1} />)) }
<span>hello,world</span>
</WarpComponent>
</div>
}
效果:

newChidrenArray ,就是扁平化的数组结构。React.Children.toArray() 在拉平展开子节点列表时,更改 key 值以保留嵌套数组的语义。也就是说, toArray 会为返回数组中的每个 key 添加前缀,以使得每个元素 key 的范围都限定在此函数入参数组的对象内。
# Children.only
验证 children 是否只有一个子节点(一个 React 元素),如果有则返回它,否则此方法会抛出错误。
不唯一
function WarpComponent(props){
console.log(React.Children.only(props.children))
return props.children
}
function Index(){
return <div style={{ marginTop:'50px' }} >
<WarpComponent>
{ new Array(3).fill(0).map((item,index)=><Text key={index} />) }
<span>hello,world</span>
</WarpComponent>
</div>
}
效果

唯一
function WarpComponent(props){
console.log(React.Children.only(props.children))
return props.children
}
function Index(){
return <div style={{ marginTop:'50px' }} >
<WarpComponent>
<Text/>
</WarpComponent>
</div>
}
效果

React.Children.only() 不接受 React.Children.map() 的返回值,因为它是一个数组而并不是 React 元素。
# react-hooks
对于react-hooks,我已经写了三部曲,介绍了react-hooks使用,自定义hooks,以及react-hooks原理,感兴趣的同学可以去看看,文章末尾有链接,对于常用的api,我这里参考了react-hooks如何使用那篇文章。并做了相应精简化和一些内容的补充。

# useState
useState可以弥补函数组件没有state的缺陷。useState可以接受一个初识值,也可以是一个函数action,action返回值作为新的state。返回一个数组,第一个值为state读取值,第二个值为改变state的dispatchAction函数。
我们看一个例子:
const DemoState = (props) => {
/* number为此时state读取值 ,setNumber为派发更新的函数 */
let [number, setNumber] = useState(0) /* 0为初始值 */
return (<div>
<span>{ number }</span>
<button onClick={ ()=> {
setNumber(number+1) /* 写法一 */
setNumber(number=>number + 1 ) /* 写法二 */
console.log(number) /* 这里的number是不能够即时改变的 */
} } >num++</button>
</div>)
}
# useEffect
useEffect可以弥补函数组件没有生命周期的缺点。我们可以在useEffect第一个参数回调函数中,做一些请求数据,事件监听等操作,第二个参数作为dep依赖项,当依赖项发生变化,重新执行第一个函数。
useEffect可以用作数据交互。
/* 模拟数据交互 */
function getUserInfo(a){
return new Promise((resolve)=>{
setTimeout(()=>{
resolve({
name:a,
age:16,
})
},500)
})
}
const DemoEffect = ({ a }) => {
const [ userMessage , setUserMessage ] :any= useState({})
const div= useRef()
const [number, setNumber] = useState(0)
/* 模拟事件监听处理函数 */
const handleResize =()=>{}
/* useEffect使用 ,这里如果不加限制 ,会是函数重复执行,陷入死循环*/
useEffect(()=>{
/* 请求数据 */
getUserInfo(a).then(res=>{
setUserMessage(res)
})
/* 操作dom */
console.log(div.current) /* div */
/* 事件监听等 */
window.addEventListener('resize', handleResize)
/* 只有当props->a和state->number改变的时候 ,useEffect副作用函数重新执行 ,如果此时数组为空[],证明函数只有在初始化的时候执行一次相当于componentDidMount */
},[ a ,number ])
return (<div ref={div} >
<span>{ userMessage.name }</span>
<span>{ userMessage.age }</span>
<div onClick={ ()=> setNumber(1) } >{ number }</div>
</div>)
}
useEffect可以用作事件监听,还有一些基于dom的操作。,别忘了在useEffect第一个参数回调函数,返一个函数用于清除事件监听等操作。
const DemoEffect = ({ a }) => {
/* 模拟事件监听处理函数 */
const handleResize =()=>{}
useEffect(()=>{
/* 定时器 延时器等 */
const timer = setInterval(()=>console.log(666),1000)
/* 事件监听 */
window.addEventListener('resize', handleResize)
/* 此函数用于清除副作用 */
return function(){
clearInterval(timer)
window.removeEventListener('resize', handleResize)
}
},[ a ])
return (<div >
</div>)
}
# useMemo
useMemo接受两个参数,第一个参数是一个函数,返回值用于产生保存值。 第二个参数是一个数组,作为dep依赖项,数组里面的依赖项发生变化,重新执行第一个函数,产生新的值。
应用场景: 1 缓存一些值,避免重新执行上下文
const number = useMemo(()=>{
/** ....大量的逻辑运算 **/
return number
},[ props.number ]) // 只有 props.number 改变的时候,重新计算number的值。
2 减少不必要的dom循环
/* 用 useMemo包裹的list可以限定当且仅当list改变的时候才更新此list,这样就可以避免selectList重新循环 */
{useMemo(() => (
<div>{
selectList.map((i, v) => (
<span
className={style.listSpan}
key={v} >
{i.patentName}
</span>
))}
</div>
), [selectList])}
3 减少子组件渲染
/* 只有当props中,list列表改变的时候,子组件才渲染 */
const goodListChild = useMemo(()=> <GoodList list={ props.list } /> ,[ props.list ])
# useCallback
useMemo 和 useCallback 接收的参数都是一样,都是在其依赖项发生变化后才执行,都是返回缓存的值,区别在于 useMemo 返回的是函数运行的结果, useCallback 返回的是函数。 返回的callback可以作为props回调函数传递给子组件。
/* 用react.memo */
const DemoChildren = React.memo((props)=>{
/* 只有初始化的时候打印了 子组件更新 */
console.log('子组件更新')
useEffect(()=>{
props.getInfo('子组件')
},[])
return <div>子组件</div>
})
const DemoUseCallback=({ id })=>{
const [number, setNumber] = useState(1)
/* 此时usecallback的第一参数 (sonName)=>{ console.log(sonName) }
经过处理赋值给 getInfo */
const getInfo = useCallback((sonName)=>{
console.log(sonName)
},[id])
return <div>
{/* 点击按钮触发父组件更新 ,但是子组件没有更新 */}
<button onClick={ ()=>setNumber(number+1) } >增加</button>
<DemoChildren getInfo={getInfo} />
</div>
}
# useRef
useRef的作用:
- 一 是可以用来获取
dom元素,或者class组件实例 。 - 二
react-hooks原理文章中讲过,创建useRef时候,会创建一个原始对象,只要函数组件不被销毁,原始对象就会一直存在,那么我们可以利用这个特性,来通过useRef保存一些数据。
const DemoUseRef = ()=>{
const dom= useRef(null)
const handerSubmit = ()=>{
/* <div >表单组件</div> dom 节点 */
console.log(dom.current)
}
return <div>
{/* ref 标记当前dom节点 */}
<div ref={dom} >表单组件</div>
<button onClick={()=>handerSubmit()} >提交</button>
</div>
}
# useLayoutEffect
useEffect执行顺序: 组件更新挂载完成 -> 浏览器 dom 绘制完成 -> 执行 useEffect 回调。 useLayoutEffect 执行顺序: 组件更新挂载完成 -> 执行 useLayoutEffect 回调-> 浏览器dom绘制完成。
所以说 useLayoutEffect 代码可能会阻塞浏览器的绘制 。我们写的 effect和 useLayoutEffect,react在底层会被分别打上PassiveEffect,HookLayout,在commit阶段区分出,在什么时机执行。
const DemoUseLayoutEffect = () => {
const target = useRef()
useLayoutEffect(() => {
/*我们需要在dom绘制之前,移动dom到制定位置*/
const { x ,y } = getPositon() /* 获取要移动的 x,y坐标 */
animate(target.current,{ x,y })
}, []);
return (
<div >
<span ref={ target } className="animate"></span>
</div>
)
}
# useReducer
在react-hooks原理那篇文章中讲解到,useState底层就是一个简单版的useReducer
useReducer 接受的第一个参数是一个函数,我们可以认为它就是一个 reducer , reducer 的参数就是常规 reducer 里面的 state 和 action ,返回改变后的 state , useReducer 第二个参数为 state 的初始值 返回一个数组,数组的第一项就是更新之后 state 的值 ,第二个参数是派发更新的 dispatch 函数。
我们来看一下useReducer如何使用:
const DemoUseReducer = ()=>{
/* number为更新后的state值, dispatchNumbner 为当前的派发函数 */
const [ number , dispatchNumbner ] = useReducer((state,action)=>{
const { payload , name } = action
/* return的值为新的state */
switch(name){
case 'add':
return state + 1
case 'sub':
return state - 1
case 'reset':
return payload
}
return state
},0)
return <div>
当前值:{ number }
{ /* 派发更新 */ }
<button onClick={()=>dispatchNumbner({ name:'add' })} >增加</button>
<button onClick={()=>dispatchNumbner({ name:'sub' })} >减少</button>
<button onClick={()=>dispatchNumbner({ name:'reset' ,payload:666 })} >赋值</button>
{ /* 把dispatch 和 state 传递给子组件 */ }
<MyChildren dispatch={ dispatchNumbner } State={{ number }} />
</div>
}
# useContext
我们可以使用 useContext ,来获取父级组件传递过来的 context 值,这个当前值就是最近的父级组件 Provider 设置的 value 值,useContext 参数一般是由 createContext 方式引入 ,也可以父级上下文 context 传递 ( 参数为 context )。useContext 可以代替 context.Consumer 来获取 Provider 中保存的 value 值
/* 用useContext方式 */
const DemoContext = ()=> {
const value:any = useContext(Context)
/* my name is alien */
return <div> my name is { value.name }</div>
}
/* 用Context.Consumer 方式 */
const DemoContext1 = ()=>{
return <Context.Consumer>
{/* my name is alien */}
{ (value)=> <div> my name is { value.name }</div> }
</Context.Consumer>
}
export default ()=>{
return <div>
<Context.Provider value={{ name:'alien' , age:18 }} >
<DemoContext />
<DemoContext1 />
</Context.Provider>
</div>
}
# useImperativeHandle
useImperativeHandle 可以配合 forwardRef自定义暴露给父组件的实例值。这个很有用,我们知道,对于子组件,如果是class类组件,我们可以通过ref获取类组件的实例,但是在子组件是函数组件的情况,如果我们不能直接通过ref的,那么此时useImperativeHandle和 forwardRef配合就能达到效果。
useImperativeHandle接受三个参数:
- 第一个参数ref: 接受
forWardRef传递过来的ref。 - 第二个参数
createHandle:处理函数,返回值作为暴露给父组件的ref对象。 - 第三个参数
deps:依赖项deps,依赖项更改形成新的ref对象。
我们来模拟给场景,用useImperativeHandle,使得父组件能让子组件中的input自动赋值并聚焦。
function Son (props,ref) {
console.log(props)
const inputRef = useRef(null)
const [ inputValue , setInputValue ] = useState('')
useImperativeHandle(ref,()=>{
const handleRefs = {
/* 声明方法用于聚焦input框 */
onFocus(){
inputRef.current.focus()
},
/* 声明方法用于改变input的值 */
onChangeValue(value){
setInputValue(value)
}
}
return handleRefs
},[])
return <div>
<input
placeholder="请输入内容"
ref={inputRef}
value={inputValue}
/>
</div>
}
const ForwarSon = forwardRef(Son)
class Index extends React.Component{
cur = null
handerClick(){
const { onFocus , onChangeValue } =this.cur
onFocus()
onChangeValue('let us learn React!')
}
render(){
return <div style={{ marginTop:'50px' }} >
<ForwarSon ref={cur => (this.cur = cur)} />
<button onClick={this.handerClick.bind(this)} >操控子组件</button>
</div>
}
}
效果:

# useDebugValue
useDebugValue` 可用于在 `React` 开发者工具中显示自定义 `hook` 的标签。这个`hooks`目的就是检查自定义`hooks
function useFriendStatus(friendID) {
const [isOnline, setIsOnline] = useState(null);
// ...
// 在开发者工具中的这个 Hook 旁边显示标签
// e.g. "FriendStatus: Online"
useDebugValue(isOnline ? 'Online' : 'Offline');
return isOnline;
}
我们不推荐你向每个自定义 Hook 添加 debug 值。当它作为共享库的一部分时才最有价值。在某些情况下,格式化值的显示可能是一项开销很大的操作。除非需要检查 Hook,否则没有必要这么做。因此,useDebugValue 接受一个格式化函数作为可选的第二个参数。该函数只有在 Hook 被检查时才会被调用。它接受 debug 值作为参数,并且会返回一个格式化的显示值。
# useTransition
useTransition允许延时由state改变而带来的视图渲染。避免不必要的渲染。它还允许组件将速度较慢的数据获取更新推迟到随后渲染,以便能够立即渲染更重要的更新。
const TIMEOUT_MS = { timeoutMs: 2000 }
const [startTransition, isPending] = useTransition(TIMEOUT_MS)
useTransition接受一个对象,timeoutMs代码需要延时的时间。- 返回一个数组。第一个参数: 是一个接受回调的函数。我们用它来告诉
React需要推迟的state。 第二个参数: 一个布尔值。表示是否正在等待,过度状态的完成(延时state的更新)。
下面我们引入官网的列子,来了解useTransition的使用。
const SUSPENSE_CONFIG = { timeoutMs: 2000 };
function App() {
const [resource, setResource] = useState(initialResource);
const [startTransition, isPending] = useTransition(SUSPENSE_CONFIG);
return (
<>
<button
disabled={isPending}
onClick={() => {
startTransition(() => {
const nextUserId = getNextId(resource.userId);
setResource(fetchProfileData(nextUserId));
});
}}
>
Next
</button>
{isPending ? " 加载中..." : null}
<Suspense fallback={<Spinner />}>
<ProfilePage resource={resource} />
</Suspense>
</>
);
}
在这段代码中,我们使用 startTransition 包装了我们的数据获取。这使我们可以立即开始获取用户资料的数据,同时推迟下一个用户资料页面以及其关联的 Spinner 的渲染 2 秒钟( timeoutMs 中显示的时间)。
这个api目前处于实验阶段,没有被完全开放出来。
# react-dom
接下来,我们来一起研究react-dom中比较重要的api。

# render
render 是我们最常用的react-dom的 api,用于渲染一个react元素,一般react项目我们都用它,渲染根部容器app。
ReactDOM.render(element, container[, callback])
使用
ReactDOM.render(
< App / >,
document.getElementById('app')
)
ReactDOM.render会控制container容器节点里的内容,但是不会修改容器节点本身。
# hydrate
服务端渲染用hydrate。用法与 render() 相同,但它用于在 ReactDOMServer 渲染的容器中对 HTML 的内容进行 hydrate 操作。
ReactDOM.hydrate(element, container[, callback])
# createPortal
Portal 提供了一种将子节点渲染到存在于父组件以外的 DOM 节点的优秀的方案。createPortal 可以把当前组件或 element 元素的子节点,渲染到组件之外的其他地方。
那么具体应用到什么场景呢?
比如一些全局的弹窗组件model,<Model/>组件一般都写在我们的组件内部,倒是真正挂载的dom,都是在外层容器,比如body上。此时就很适合createPortalAPI。
createPortal接受两个参数:
ReactDOM.createPortal(child, container)
第一个: child 是任何可渲染的 React 子元素 第二个: container是一个 DOM 元素。
接下来我们实践一下:
function WrapComponent({ children }){
const domRef = useRef(null)
const [ PortalComponent, setPortalComponent ] = useState(null)
React.useEffect(()=>{
setPortalComponent( ReactDOM.createPortal(children,domRef.current) )
},[])
return <div>
<div className="container" ref={ domRef } ></div>
{ PortalComponent }
</div>
}
class Index extends React.Component{
render(){
return <div style={{ marginTop:'50px' }} >
<WrapComponent>
<div >hello,world</div>
</WrapComponent>
</div>
}
}
效果

我们可以看到,我们children实际在container 之外挂载的,但是已经被createPortal渲染到container中。
# unstable_batchedUpdates
在react-legacy模式下,对于事件,react事件有批量更新来处理功能,但是这一些非常规的事件中,批量更新功能会被打破。所以我们可以用react-dom中提供的unstable_batchedUpdates 来进行批量更新。
一次点击实现的批量更新
class Index extends React.Component{
constructor(props){
super(props)
this.state={
numer:1,
}
}
handerClick=()=>{
this.setState({ numer : this.state.numer + 1 })
console.log(this.state.numer)
this.setState({ numer : this.state.numer + 1 })
console.log(this.state.numer)
this.setState({ numer : this.state.numer + 1 })
console.log(this.state.numer)
}
render(){
return <div style={{ marginTop:'50px' }} >
<button onClick={ this.handerClick } >click me</button>
</div>
}
}
效果

渲染次数一次。
批量更新条件被打破
handerClick=()=>{
Promise.resolve().then(()=>{
this.setState({ numer : this.state.numer + 1 })
console.log(this.state.numer)
this.setState({ numer : this.state.numer + 1 })
console.log(this.state.numer)
this.setState({ numer : this.state.numer + 1 })
console.log(this.state.numer)
})
}
效果

渲染次数三次。
unstable_batchedUpdate助力
handerClick=()=>{
Promise.resolve().then(()=>{
ReactDOM.unstable_batchedUpdates(()=>{
this.setState({ numer : this.state.numer + 1 })
console.log(this.state.numer)
this.setState({ numer : this.state.numer + 1 })
console.log(this.state.numer)
this.setState({ numer : this.state.numer + 1 })
console.log(this.state.numer)
})
})
}
渲染次数一次,完美解决批量更新问题。
# flushSync
flushSync 可以将回调函数中的更新任务,放在一个较高的优先级中。我们知道react设定了很多不同优先级的更新任务。如果一次更新任务在flushSync回调函数内部,那么将获得一个较高优先级的更新。比如
ReactDOM.flushSync(()=>{
/* 此次更新将设置一个较高优先级的更新 */
this.setState({ name: 'alien' })
})
为了让大家理解flushSync,我这里做一个demo奉上,
/* flushSync */
import ReactDOM from 'react-dom'
class Index extends React.Component{
state={ number:0 }
handerClick=()=>{
setTimeout(()=>{
this.setState({ number: 1 })
})
this.setState({ number: 2 })
ReactDOM.flushSync(()=>{
this.setState({ number: 3 })
})
this.setState({ number: 4 })
}
render(){
const { number } = this.state
console.log(number) // 打印什么??
return <div>
<div>{ number }</div>
<button onClick={this.handerClick} >测试flushSync</button>
</div>
}
}
先不看答案,点击一下按钮,打印什么呢?
我们来点击一下看看

打印 0 3 4 1 ,相信不难理解为什么这么打印了。
- 首先
flushSyncthis.setState({ number: 3 })设定了一个高优先级的更新,所以3 先被打印 - 2 4 被批量更新为 4
相信这个demo让我们更深入了解了flushSync。
# findDOMNode
findDOMNode用于访问组件DOM元素节点,react推荐使用ref模式,不期望使用findDOMNode。
ReactDOM.findDOMNode(component)
注意的是:
- 1
findDOMNode只能用在已经挂载的组件上。 - 2 如果组件渲染内容为
null或者是false,那么findDOMNode返回值也是null。 - 3
findDOMNode不能用于函数组件。
接下来让我们看一下,findDOMNode具体怎么使用的:
class Index extends React.Component{
handerFindDom=()=>{
console.log(ReactDOM.findDOMNode(this))
}
render(){
return <div style={{ marginTop:'100px' }} >
<div>hello,world</div>
<button onClick={ this.handerFindDom } >获取容器dom</button>
</div>
}
}
效果:

我们完全可以将外层容器用ref来标记,获取捕获原生的dom节点。
# unmountComponentAtNode
从 DOM 中卸载组件,会将其事件处理器和 state 一并清除。 如果指定容器上没有对应已挂载的组件,这个函数什么也不会做。如果组件被移除将会返回 true ,如果没有组件可被移除将会返回 false 。
我们来简单举例看看unmountComponentAtNode如何使用?
function Text(){
return <div>hello,world</div>
}
class Index extends React.Component{
node = null
constructor(props){
super(props)
this.state={
numer:1,
}
}
componentDidMount(){
/* 组件初始化的时候,创建一个 container 容器 */
ReactDOM.render(<Text/> , this.node )
}
handerClick=()=>{
/* 点击卸载容器 */
const state = ReactDOM.unmountComponentAtNode(this.node)
console.log(state)
}
render(){
return <div style={{ marginTop:'50px' }} >
<div ref={ ( node ) => this.node = node } ></div>
<button onClick={ this.handerClick } >click me</button>
</div>
}
}
效果

← 跟 React 学设计模式 Taro原理 →