# 动态规划方法论
动态规划是算法面试中的一个“大IP”,同时也是很多同学的心头痛。本节致力于用舒服的姿势帮助大家克服这块心病,因此开篇不能急于怼知识点,要先讲讲方法。
在笔者看来,对于动态规划的学习,最重要的是找到一个正确的学习切入点:如果你是一个对相关理论一无所知的初学者,自然不能急于一上来就生吞“模型”、“状态转移方程”等高端概念——大家谨记,动态规划是一种思想,所谓思想,就是非常好用,好用到爆的套路。我们学习一种思想,重要的是建立起对它的感性认知,而不是反复咀嚼那些对现在的你来说还非常生硬的文字概念——从抽象去理解抽象是意淫,从具体去理解抽象才是学习。
首先带大家一起解决一个实际的问题,然后逐步复盘问题的解决方案,最后从解决方案中提取出动态规划相关的概念、模型和技巧,实现对号入座。
从前面一系列章节的学习反馈中,笔者观察到一部分同学的阅读习惯非常“薄情”——打开小册只为做题,做完就溜,讲解部分基本是不看的。
这里想要提醒大家的是,题目本身不仅仅是命题点,更是素材、是教具,大家最终要关注到的还是题目背后的思想和方法。因此希望同学们能多给自己一点时间、多一些耐心去反刍和吸收知识。
# 从“爬楼梯”问题说起
题目描述:假设你正在爬楼梯。需要 n 阶你才能到达楼顶。
每次你可以爬 1 或 2 个台阶。你有多少种不同的方法可以爬到楼顶呢?
注意:给定 n 是一个正整数。
示例 1:
输入: 2
输出: 2
解释: 有两种方法可以爬到楼顶。
1 阶 + 1 阶
2 阶
示例 2:
输入: 3
输出: 3
解释: 有三种方法可以爬到楼顶。
1 阶 + 1 阶 + 1 阶
1 阶 + 2 阶
2 阶 + 1 阶
# 思路分析与编码实现
这道题目有两个关键的特征:
- 要求你给出达成某个目的的解法个数
- 不要求你给出每一种解法对应的具体路径
这样的问题,往往可以用动态规划进行求解(这个结论大家先记下来,后面我们会有很多验证它的机会)。
Step1:递归思想分析问题 基于动态规划的思想来做题,我们首先要想到的思维工具就是“倒着分析问题”。“倒着分析问题”分两步走:
定位到问题的终点
站在终点这个视角,思考后退的可能性 在这道题里,“问题的终点”指的就是走到第 n 阶楼梯这个目标对应的路径数,我们把它记为 f(n)。
那么站在第 n 阶楼梯这个视角, 有哪些后退的可能性呢?按照题目中的要求,一次只能后退 1 步或者 2 步。因此可以定位到从第 n 阶楼梯只能后退到第 n-1 或者第 n-2 阶。我们把抵达第 n-1 阶楼梯对应的路径数记为f(n-1),把抵达第 n-2 阶楼梯对应的路径数记为 f(n-2),不难得出以下关系:
f(n) = f(n-1) + f(n-2)
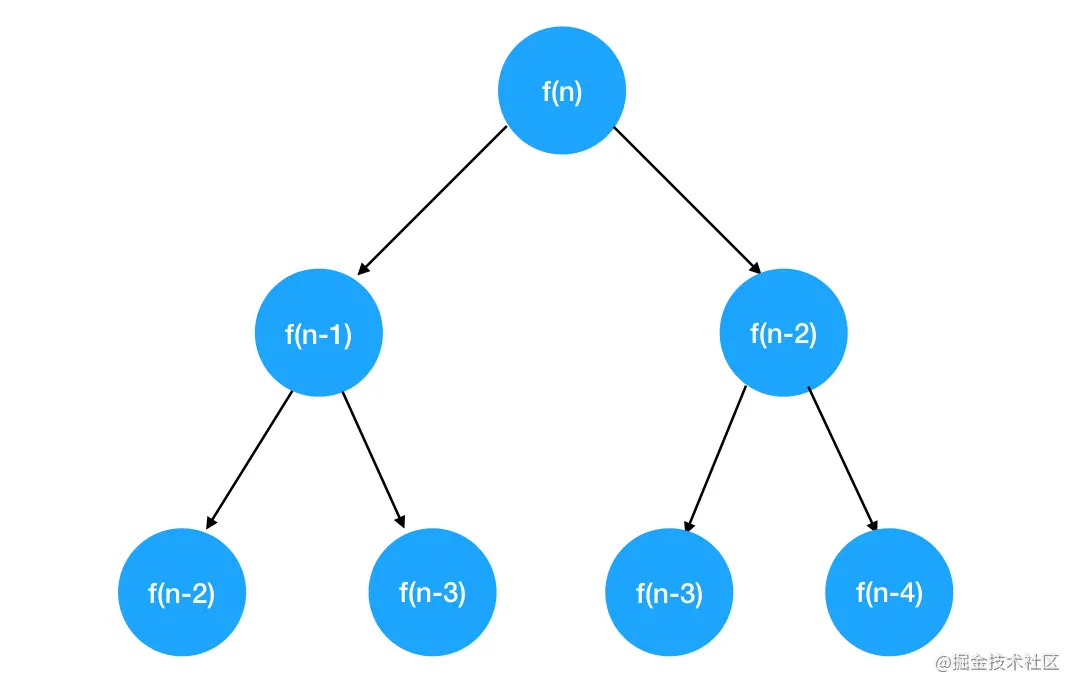
这个关系用树形结构表示会更加形象

现在我们不难看出,要想求出 f(n),必须求出f(n-1) 和f(n-2)(我们假设 n 是一个大于 5 的数字)。
接下来站在第 n-1 阶台阶上,思考后退的姿势,也无非只能是退到 n-1-1层台阶 或 n-1-2层台阶上,所以f(n-1) 和 f(n-2)、f(n-3)间同样具有以下关系:
f(n-1) = f(n-2) + f(n-3)
同理, f(n-2)也可以按照同样的规则进行拆分:
f(n-2) = f(n-3) + f(n-4)
现在我们的树结构渐渐丰满起来了:

随着拆分的进行,一定会有一个时刻,求解到了 f(1) 或 f(2)。按照题设规则,第 1 阶楼梯只能走 1 步抵达,第 2 阶楼梯可以走 1 步或者走 2 步抵达,因此我们不难得出 f(1) 和 f(2) 的值:
f(1) = 1   
f(2) = 2
我们在学习递归与回溯思想的时候,曾经给大家强调过,遇到“树形思维模型”,就要想办法往递归上靠。这道题明显用到了树形思维模型,有着明确的重复内容(不断地按照 f(n) = f(n-1) + f(n-2)的规则拆分),同时有着明确的边界条件(遇到f(1)或f(2)就可以返回了),因此我们不难写出其对应的递归解法代码:
/**
* @param {number} n
* @return {number}
*/
const climbStairs = function(n) {
    // 处理递归边界
    if(n === 1) {
        return 1
    }
    if(n === 2){
        return 2
    }
    // 递归计算
    return climbStairs(n-1) + climbStairs(n-2)
};
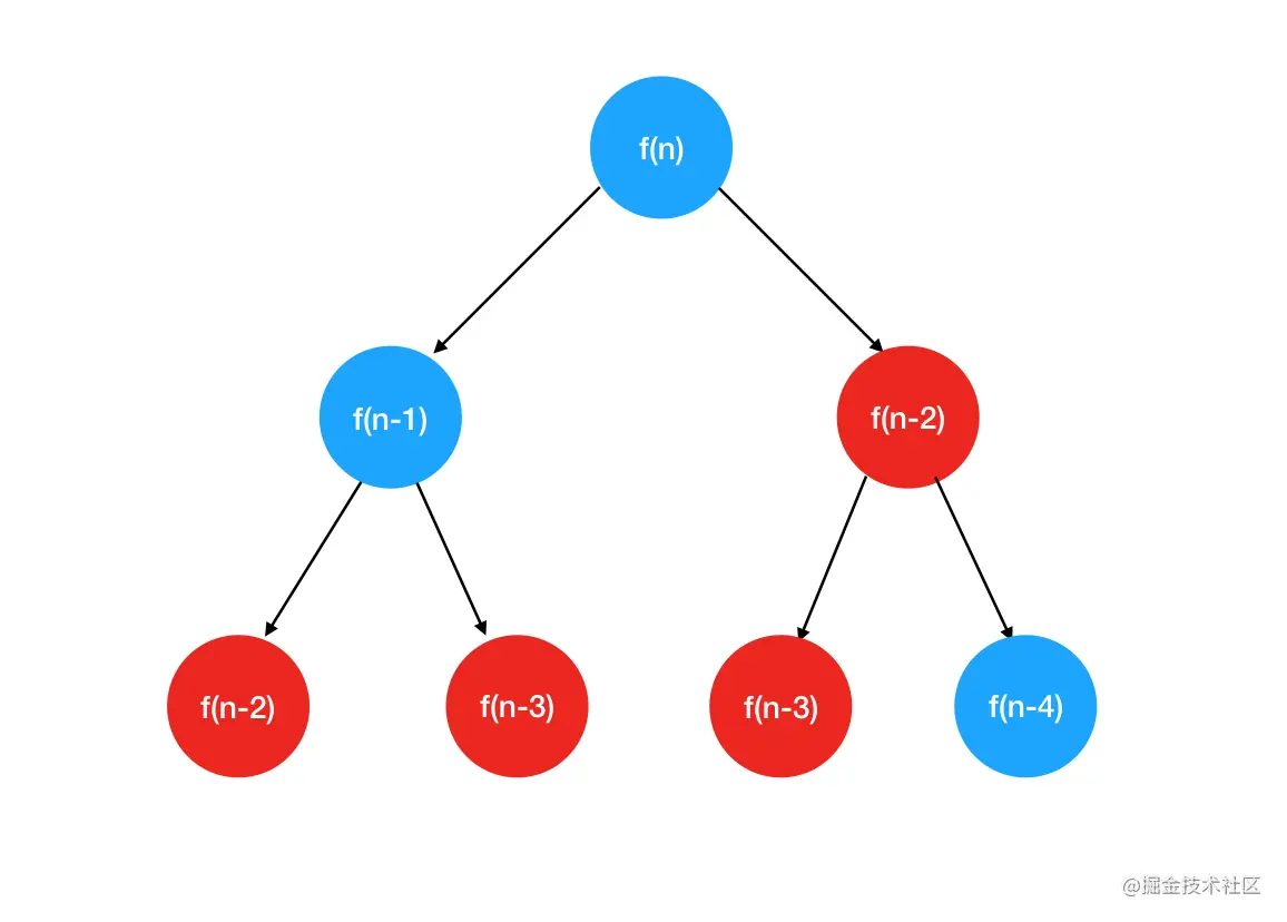
但是这个解法问题比较大,丢进 OJ 会直接超时。我们一起来看看原因,回到我们上面这张树形结构图上来:

这次我把 f(n-2) 和f(n-3)给标红了。大家不难看出,我们在图中对 f(n-2)和f(n-3) 进行了重复的计算。事实上,随着我们递归层级的加深,这个重复的问题会越来越严重:

(图上标红的均为发生过重复计算的结点)
Step2:记忆化搜索来提效
重复计算带来了时间效率上的问题,要想解决这类问题,最直接的思路就是用空间换时间,也就是想办法记住之前已经求解过的结果。这里我们只需要定义一个数组:
const f = []
每计算出一个 f(n) 的值,都把它塞进 f 数组里。下次要用到这个值的时候,直接取出来就行了:
/**
* @param {number} n
* @return {number}
*/
// 定义记忆数组 f
const f = []
const climbStairs = function(n) {
  if(n==1) {
      return 1
  }
  if(n==2) {
      return 2
  }
  // 若f[n]不存在,则进行计算
  if(f[n]===undefined)  f[n] = climbStairs(n-1) + climbStairs(n-2)
  // 若f[n]已经求解过,直接返回
  return f[n]
};
以上这种在递归的过程中,不断保存已经计算出的结果,从而避免重复计算的手法,叫做记忆化搜索。
对于一些实用派的面试官来说,“记忆化搜索”和“动态规划”没有区别,它们都能够以不错的效率帮我们达到同样的目的。这种情况下,上面这个答案就足够了。
但是还有一部分面试官,比较讲究,善于咀嚼理论概念。他会告诉你记忆化搜索和动态规划是两个东西,别想糊弄哥,哥要的是动态规划的解法。 行吧,就给你动态规划的解法。
Step3:记忆化搜索转化为动态规划
要想完成记忆化搜索与动态规划之间的转化,首先要清楚两者间的区别。
先说记忆化搜索,记忆化搜索可以理解为优化过后的递归。递归往往可以基于树形思维模型来做,以这道题为例:

我们基于树形思维模型来解题时,实际上是站在了一个比较大的未知数量级(也就是最终的那个n),来不断进行拆分,最终拆回较小的已知数量级(f(1)、f(2))。这个过程是一个明显的自顶向下的过程。
动态规划则恰恰相反,是一个自底向上的过程。它要求我们站在已知的角度,通过定位已知和未知之间的关系,一步一步向前推导,进而求解出未知的值。
在这道题中,已知 f(1) 和 f(2) 的值,要求解未知的 f(n),我们唯一的抓手就是这个等价关系:
f(n) = f(n-1) + f(n-2)
以 f(1) 和 f(2) 为起点,不断求和,循环递增 n 的值,我们就能够求出f(n)了:
/**
* @param {number} n
* @return {number}
*/
const climbStairs = function(n) {
    // 初始化状态数组
    const f = [];
    // 初始化已知值
    f[1] = 1;
    f[2] = 2;
    // 动态更新每一层楼梯对应的结果
    for(let i = 3;i <= n;i++){
        f[i] = f[i-2] + f[i-1];
    }
    // 返回目标值
    return f[n];
};
以上便是这道题的动态规划解法。
# 从题解思路看动态规划
下面我们基于这个题解的过程,站在专业的角度来重新认识一下动态规划。
前面咱们在排序专题学过“分治”思想,提到了“子问题”这个概念。分治问题的核心思想是:把一个问题分解为相互独立的子问题,逐个解决子问题后,再组合子问题的答案,就得到了问题的最终解。
动态规划的思想和“分治”有点相似。不同之处在于,“分治”思想中,各个子问题之间是独立的:比如说归并排序中,子数组之间的排序并不互相影响。而动态规划划分出的子问题,往往是相互依赖、相互影响的。
什么样的题应该用动态规划来做?我们要抓以下两个关键特征:
- 最优子结构
- 重叠子问题
- 拿这道题的分析过程来说:

- 最优子结构,它指的是问题的最优解包含着子问题的最优解——不管前面的决策如何,此后的状态必须是基于当前状态(由上次决策产生)的最优决策。就这道题来说,f(n)和f(n-1)、f(n-2)之间的关系印证了这一点(这玩意儿叫状态转移方程,大家记一下)。
- 重叠子问题,它指的是在递归的过程中,出现了反复计算的情况。就这道题来说,图上标红的一系列重复计算的结点印证了这一点。 因此,这道题适合用动态规划来做。
# 动态规划问题的分析技巧
现在,大家理解了动态规划的概念,明确了其“自底向上”的脑回路特征。但在实际做题过程中,“自底向上”分析问题往往不是最舒服的解题姿势,按照这个脑回路去想问题,容易拧巴。
什么姿势不拧巴? 递归!
你现在回过头去看看咱们前面递归+记忆化搜索那一通操作,你觉得拧巴吗?不拧巴!舒服不?相当舒服了——只要你掌握了递归与回溯,就不难分析出图上的树形思维模型和递归边界条件,树形思维模型将帮助我们更迅速地定位到状态转移关系,边界条件往往对应的就是已知子问题的解;基于树形思维模型,结合一下记忆化搜索,难么?不难,谁还不会初始化个记忆数组了呢;最后再把递归往迭代那么一转,答案不就有了么!
当然,咱们上面一通吹牛逼都只是为了衬托递归思路分析下来有多么爽,并不是说动态规划有多么简单。实际上,动态规划可复杂了,递归+记忆化搜索的思想只是帮助我们简化问题,但并不能送佛送到西。说到底,还是得靠我们自己。 动态规划到底复杂在什么地方,这里我先预告一下:
- 状态转移方程不好确定
- 已知的状态可能不明显
- 递归转迭代,一部分同学可能不知道怎么转(这个就是纯粹的编程基础问题了,多写多练哈)
多的也没法说了,大家后面慢慢体会。
总结一下,对于动态规划,笔者建议大家优先选择这样的分析路径:
- 递归思想明确树形思维模型:找到问题终点,思考倒退的姿势,往往可以帮助你更快速地明确状态间的关系
- 结合记忆化搜索,明确状态转移方程
- 递归代码转化为迭代表达(这一步不一定是必要的,1、2本身为思维路径,而并非代码实现。若你成长为熟手,2中分析出来的状态转移方程可以直接往循环里塞,根本不需要转换)。
# “最值”型问题典范:如何优雅地找硬币
题目描述:给定不同面额的硬币 coins 和一个总金额 amount。编写一个函数来计算可以凑成总金额所需的最少的硬币个数。如果没有任何一种硬币组合能组成总金额,返回 -1。
示例1:
输入: coins = [1, 2, 5], amount = 11
输出: 3 解释: 11 = 5 + 5 + 1
示例2:
输入: coins = [2], amount = 3
输出: -1
提示:最值问题是动态规划的常见对口题型,见到最值问题,应该想到动态规划
# 思路分析
现在思维工具已经给到大家了,详细的步骤我就不啰嗦了。我直接讲难点:这道题对于初学者来说,难的是状态转移方程的明确。
要明确状态转移关系,我们依然是借助“倒推”的思想:解决爬楼梯问题时,我们首先思考的是站在第 n 阶楼梯上的后退姿势。这道题也一样,我们需要思考的是站在 amount 这个组合结果上的“后退姿势”—— 我们可以假装此时手里已经有了 36 美分,只是不清楚硬币的个数,把“如何凑到36”的问题转化为“如何从36减到0”的问题。
硬币的英文是 coin,因此我们这里用 c1、c2、c3......cn 分别来表示题目中给到我们的第 1-n 个硬币。现在我如果从 36 美分的总额中拿走一个硬币,那么有以下几种可能:
拿走 c1
拿走 c2
拿走 c3
......
拿走 cn
重复往前推导这个“拿走”的过程,我们可以得到以下的树形思维模型:

假如用 f(x)表示每一个总额数字对应的最少硬币数,那么我们可以得到以下的对应关系:
f(36) = Math.min(f(36-c1)+1,f(36-c2)+1,f(36-c3)+1......f(36-cn)+1)
这套对应关系,就是本题的状态转移方程。
找出了状态转移方程,我们接下来需要思考的是递归的边界条件:在什么情况下,我的“后退”(实际是做减法)可以停下来?这里需要考虑的是硬币总额为 0 的情况,这种情况对应的硬币个数毫无疑问也会是 0,因而不需要任何的回溯计算。由此我们就得到了一个已知的最基本的子问题的结果:
f[0] = 0
现在,明确了状态转移方程,明确了已知子问题的解,我们来写代码:
编码实现
const coinChange = function(coins, amount) {
    // 用于保存每个目标总额对应的最小硬币个数
    const f = []
    // 提前定义已知情况
    f[0] = 0
    // 遍历 [1, amount] 这个区间的硬币总额
    for(let i=1;i<=amount;i++) {
        // 求的是最小值,因此我们预设为无穷大,确保它一定会被更小的数更新
        f[i] = Infinity
        // 循环遍历每个可用硬币的面额
        for(let j=0;j<coins.length;j++) {
            // 若硬币面额小于目标总额,则问题成立
            if(i-coins[j]>=0) {
                // 状态转移方程
                f[i] = Math.min(f[i],f[i-coins[j]]+1)
            }
        }
    }
    // 若目标总额对应的解为无穷大,则意味着没有一个符合条件的硬币总数来更新它,本题无解,返回-1
    if(f[amount]===Infinity) {
        return -1
    }
    // 若有解,直接返回解的内容
    return f[amount]
};
# 小结
经过本节的讲解,相信大家已经对动态规划的概念和通用解题模板有了掌握。但仅仅依靠这些,可能还不足以支撑起你全部的底气——动态规划问题千姿百态,有着繁多的题型分支。在下一节,我们就将围绕这些分支中考察频率最高的一部分,提取出通用的解题模型,帮助大家更进一步。
